Autor: Leonardo Badea, Prim-viceguvernator BNR
Cursul nominal de schimb este una dintre cele mai complexe variabile macro-financiare, întrucât este atât cauză, cât și efect în formarea echilibrelor macroeconomice. De aceea, cursul nominal de schimb reprezintă o variabilă importantă, atât pentru politicile macroeconomice clasice, cât și pentru cea mai nouă politică de stabilizare, cea macroprudențială, al cărei obiectiv este menținerea stabilității financiare.
Dincolo de cursul nominal de schimb, macroeconomiștii manifestă un interes deosebit și pentru evoluția cursului real de schimb. Referitor la factorii determinanți ai acestei variabile macroeconomice de interes, voi relua și dezvolta, dintr-un articol recent publicat de mine, intitulat O analiză conceptuală asupra evoluției cursului real de schimb în Europa Centrală și de Est după izbucnirea pandemiei, exemplul referitor la formarea prețurilor pentru un produs reprezentativ al McDonald’s. În anul 1986, jurnalista Pam Woodall de la revista The Economist a propus o metodă inedită de comparare a puterii de cumpărare între economiile lumii, utilizând ca reper prețul celebrului Big Mac de la McDonald’s. Ideea sa pornea de la principiul parității puterii de cumpărare (PPP). Această teorie, evidențiată de membri ai școlii din Salamanca încă din secolul XVI și apoi elaborată în forma sa modernă de către economistul suedez Gustav Cassel în 1922, presupune că, pe termen lung, bunurile identice ar trebui să coste aproximativ la fel în diferite țări, atunci când prețurile sunt exprimate într-o monedă comună.
Pornind de la faptul că lanțul McDonald’s este prezent în numeroase state și că produsul Big Mac are caracteristici standardizate la nivel global, Woodall a argumentat că diferențele de preț dintre țări pot oferi o imagine intuitivă asupra deviațiilor de la paritatea puterii de cumpărare. Astfel, a luat naștere indicele Big Mac, publicat anual de The Economist, care, dincolo de scopul său inițial ilustrativ, a devenit în timp un indicator informal pentru conceptul de curs real de schimb.
În esență, cursul real de schimb reflectă raportul la care bunurile produse într-o economie pot fi schimbate cu bunuri dintr-o altă economie. Acest raport, ce exprimă puterea de cumpărare a unei monede în termeni de bunuri străine, este evident influențat de cursul nominal de schimb. Așadar, cursul real de schimb ne arată prețul relativ al bunurilor din două țări.
În circumstanțele teoriei PPP, cursul real de schimb ar trebui să fie 1. În schimb, din date recente referitoare la indicele Big Mac se observă faptul că prețul unui produs Big Mac în Statele Unite ale Americii este 5,69 de dolari americani, în timp ce prețul aceluiași produs în China este 3,53 dolari americani. Așadar, raportul prețurilor produsului Big Mac în cele două țări subliniază faptul că yuanul este subevaluat cu aproximativ 38 % în raport cu dolarul american.
De ce totuși aceste diferențe? Există mulți factori care determină deviațiile de la teoria PPP și un curs real de schimb diferit de 1. O abordare în acest sens este descompunerea factorilor de producție ce contribuie la realizarea bunului final în bunuri tranzacționabile sau exportabile (tradable) și bunuri netranzacționabile (nontradables). În contextul exemplului anterior, produsul Big Mac este produs pe baza unui coș de bunuri tranzacționabile, cum ar fi carnea, chifla sau brânza, respectiv bunuri netranzacționabile, precum munca prestată de cei care prepară și vând produsul, închirierea spațiului comercial, utilități etc. Dacă ne referim mai departe la diferența existentă între prețul unui Big Mac produs în Statele Unite ale Americii și cel produs în China, e clar că aceasta este determinată într-o măsură importantă de diferențele existențe între prețurile bunurilor netranzacționabile între cele două economii. Altfel spus, e bine știut faptul că salariile sunt în general semnificativ mai mari în Statele Unite ale Americii decât în China, aspect ce se reflectă până la urmă și în prețul unui produs Big Mac.
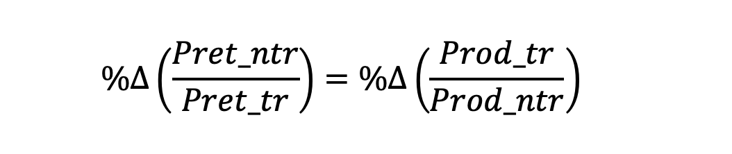
Independent, Balassa (1964) și Samuelson (1964), au dezvoltat o teorie cu privire la modul în care evoluează productivitatea în sectorul tranzacționabil și netranzacționabil în cazul unor economii în tranziție, aspect ce influențează mai departe diferențele dintre prețul bunurilor tranzacționabile și cele netranzacționabile. Altfel spus, creșterea productivității din sectorul tranzacționabil determină o creștere a salariilor din acest sector. Ca urmare a concurenței din piața muncii, acest aspect va determina mai departe o creștere și a salariilor din sectorul netranzacționabil, care, apoi, se vor reflecta într-o creștere a prețurilor bunurilor netranzacționabile. Aceste două dinamici determină o serie de transformări ale economiei. Așadar, principala predicție a efectului Balassa-Samuelson poate fi redată de următoarea relație:

unde %Δ arată modificarea procentuală a celor două rapoarte în timp, tr și ntr se referă la bunuri tranzacționabile, respectiv netranzacționabile, în timp ce cu Prod am notat productivitatea. Altfel spus, modificarea în timp a productivității relative în sectoarele tranzacționabile și netranzacționabile se reflectă în mod direct în modificarea în timp a raportului dintre prețurile produselor (aici se face referire în general la bunuri și servicii, fără o delimitare clară) netranzacționabile și cele tranzacționabile. Întrucât nivelul agregat al prețurilor din economie reprezintă o combinație ponderată între prețurile bunurilor tranzacționabile și cele netranzacționabile, practic efectul Balassa-Samuelson prezice faptul că atunci când productivitatea din sectorul tranzacționabil crește mai rapid decât cea din sectorul netranzacționabil, va rezulta mai departe o creștere a nivelului agregat al prețurilor și al inflației, care, de altfel, se vor reflecta într-o creștere a cursului real de schimb. Unele lucrări, precum cea elaborată de Chong, Jordà și Taylor (2010) atribuie o contribuție importantă și lucrării lui Harrod (1933) pentru dezvoltarea acestei teorii, fapt pentru care autorii fac referire la modelul Harrod-Balassa-Samuelson. Însă, deoarece ulterior în cadrul acestui articol mă voi focusa pe o extensie empirică, și anume, abordarea Balassa-Samuelson-Penn, pentru a evita confuziile, voi eticheta explicit acest efect ca fiind Balassa-Samuelson.
Întrucât modelul Balassa-Samuelson se adresează în primul rând economiilor aflate în proces de tranziție către diferite niveluri de dezvoltare (cu toate că unele lucrări, precum cea elaborată de Nishimura, Takahashi și Venditti în 2023, adresează problematica Balassa-Samuelson pentru cazul unei economii avansate, ca cea a Japoniei), automat predicțiile sale pot fi extrapolate pentru a înțelege efectele acestor transformări în raport cu dezvoltările economice dintr-o economie dezvoltată. De altfel, Balassa nota în lucrarea sa din 1964: “Pe măsură ce dezvoltarea economică este însoțită de diferențe mai mari între țări în ceea ce privește productivitatea bunurilor tranzacționabile, diferențele dintre salarii și prețurile serviciilor cresc, iar în mod corespunzător cresc și diferențele în ceea ce privește paritatea puterii de cumpărare și cursurile de schimb.“
Această manieră de a privi efectul Balassa-Samuelson ridică cu atât mai mult interes pentru economii emergente precum cea a țării noastre sau ale celorlalte țări din Europa Centrală și de Est, care, în cadrul Uniunii Europene, își doresc să evolueze la statutul de economii avansate, cum este, în special, cazul țărilor din zona euro.
Revenind la predicțiile efectului Balassa-Samuelson, acestea presupun faptul că economiile emergente au o rată mai mare de creștere a productivității din sectorul tranzacționabil decât economiile avansate. Legat de această mențiune, efectul Balassa-Samuelson prezice că:
i.productivitatea din sectorul tranzacționabil este mai ridicată în țările bogate;
ii. cursul real de schimb este mai mare în țările bogate;
iii. nivelul agregat al prețurilor este mai ridicat în țările bogate;
iv. economiile emergente tind să aibă în general o inflație mai ridicată decât economiile avansate;
v. prețurile serviciilor sunt mai mici în țările mai puțin dezvoltate.
Un demers relevant din perspectiva operaționalizării conceptului de PPP este Proiectul Penn World Tables (PWT), care își are originile în cercetările lui Gilbert și Kravis (1954), respectiv ale lui Kravis, Heston și Summers (1978, 1983). Aceștia au utilizat datele furnizate de International Comparison Program (ICP) pentru a construi o bază globală de comparație economică. Scopul principal al PWT este de a transforma valorile PIB exprimate în monedă națională în estimări care pot fi folosite pentru a realiza comparații între state, prin utilizarea PPP. Kravis, Heston și Summers (1978) subliniază pentru prima dată așa numitul efect Penn (de unde și denumirea Balassa-Samuelson-Penn utilizată în unele lucrări, precum cea a lui Stahler și Subramanian, 2014), conform căruia țările bogate tind să aibă niveluri mai ridicate ale prețurilor, adică un curs real mai apreciat. Această constatare este compatibilă cu concluziile formulate ulterior de Rogoff (1996), care confirmă existența efectului, dar îl analizează în contextul persistenței abaterilor de la paritatea puterii de cumpărare (PPP puzzle).
Așadar, modelul Balassa-Samuelson oferă o perspectivă cu privire la transformările ireversibile ce apar în cadrul procesului de convergență al unei economii către diverse stadii de dezvoltare, precum și o perspectivă sectorială. În schimb, Froot și Rogoff (1985) propun un model structural unde tratează diferit producția de bunuri tranzacționabile și netranzacționabile pentru a evidenția natura diferită a capitalului, forței de muncă și productivității necesare producerii celor două tipuri de bunuri. Conform lui Froot și Rogoff (1985), relația ce descrie efectul Balassa-Samuelson poate fi rescrisă astfel:

unde munca_ntr arată ponderea factorului muncă în procesul de producție (funcția de producție de tip Cobb-Douglas) pentru bunurile netranzacționabile (o interpretare similară pentru ). În condițiile relației de mai sus, conform efectului Balassa-Samuelson, atât timp cât contribuția factorului muncă în procesul de producție al bunurilor netranzacționabile este mai ridicată decât în sectorul tranzacționabil (situație adesea întâlnită), atunci chiar și o creștere similară a productivității în cele două sectoare va conduce la o creștere a raportului dintre prețurile la produsele netranzacționabile și cele tranzacționabile, cu efecte implicite de creștere asupra cursului real de schimb.
Referitor la aceste aspecte, Baumol și Bowen (1966) subliniază faptul că o serie de servicii ce utilizează intensiv munca, cum este cazul activităților bancare, de îngrijire medicală, consultanță, educație etc., au prețuri cu tendințe de creștere în timp, întrucât creșterea productivității în aceste sectoare este mai redusă decât în cazul unor sectoare de producție în care factorul capital este utilizat mai intens comparativ cu factorul muncă.
Totodată, cu privire la comparații internaționale, lucrări precum cele ale lui Kravis și Lipsey (1983) sau Bhagwati (1984) subliniază că raportul dintre contribuția factorilor capital și muncă în cadrul procesului de producție este mai ridicat în țările bogate. Cele două mențiuni formulate anterior explică de ce serviciile sunt în general mai ieftine în țările cu economii mai puțin dezvoltate.
Din mențiunile formulate anterior cu privire la efectul Balassa-Samuelson se poate deduce faptul că acesta oferă o imagine detaliată cu privire la procesul de convergență al unei țări către diferite stadii de dezvoltare. Astfel, efectul Balassa-Samuelson (atât în forma sa inițială, cât și extensiile ulterioare) prezice o serie de transformări ireversibile ale economiei pe parcursul procesului de convergență. Aceste schimbări ireversibile vizează cursul real de schimb, salariile, nivelul prețurilor din economie, alocarea forței de muncă etc.
În cazul țării noastre, dincolo de concepte macroeconomice ca cele menționate anterior, sunt sesizabile unele schimbări semnificative în desfășurarea activităților economice, comparativ cu 10 ani în urmă. Putem aduce ca și exemplu apetitul tot mai ridicat, în special în rândul tinerilor, pentru prestarea unor servicii ca persoane fizice autorizate și nu în cadrul unor companii (antrenori de sport, creatori de conținut, consultanți etc.). Este evident că aceste servicii se bazează în special pe factorul muncă (service-intensive goods). Totodată, la aceste bunuri netranzacționabile, putem vedea o creștere semnificativă a prețurilor comparativ cu nivelul lor de acum 10 ani. În contrapondere, există un apetit mai scăzut al tinerilor de a lucra în fabrici, unde se produc bunuri tranzacționabile.
Așadar, materializarea efectului Balassa-Samuelson s-a evidențiat într-o serie de transformări ireversibile privind efectele creșterii costurilor cu forța de muncă, ale migrării forței de muncă, ale alocării eficiente a capitalului în economie sau ale modelelor de creștere.
Pentru a găsi soluții eficiente și robuste privind dezvoltarea economică sustenabilă și/sau corectarea eficientă a unor dezechilibre, cum este cazul dezechilibrului extern, este necesară o înțelegere adecvată a procesului de convergență. Prin prisma efectului Balassa-Samuelson se evidențiază inclusiv faptul că procesul de convergență al României a însemnat creșterea graduală a costului cu forța de muncă în termeni relativi. Așadar, exporturile și competitivitatea externă nu se mai pot baza pe mâna de lucru ieftină, ci trebuie să urmărească creșterea sustenabilă a productivității și a eficienței. În acest context, aprecierea cursului real de schimb și creșterea costului forței de muncă, prospectate de efectul Balassa-Samuelson, sunt dezvoltări implicite ale convergenței economiei românești.
De altfel, costurile reduse cu forța de muncă nu pot rămâne un deziderat pentru o țară ce dorește creșterea sustenabilă a economiei și a bunăstării sociale. În acest sens, este relevant exemplul Chinei, țară care a avut un proces de convergență impresionant, cu o creștere accelerată pornind de la nivelul de economie agrară și devenind astăzi a doua economie a lumii.
Într-o lucrare extrem de interesantă după opinia mea, intitulată The Neoclassical Growth of China, Fernández-Villaverde, Ohanian și Yao (2023) utilizează un model neoclasic de creștere economică de tip Ramsey-Cass-Koopmans pentru a investiga performanța economică a Chinei în perioada cuprinsă între 1995 și 2019, comparativ cu performanța economică a Statelor Unite ale Americii. Totodată, lucrarea investighează cum performanța economiei chineze se plasează în raport cu alte povești economice de succes din zona asiatică.
Tocmai pentru o apreciere justă a creșterii economice s-a analizat creșterea PIB pe locuitor, care este un indicator mai potrivit, deoarece arată dacă economia se dezvoltă în beneficiul real al populației și determină creșterea bunăstării. Pentru economiști, PIB-ul pe locuitor este important pentru evaluarea procesului de convergență economică, oferind informații cu privire la dinamica indicatorilor de productivitate și de calitate a vieții.

Graficul de mai sus ilustrează evoluția PIB-ului real pe locuitor (asupra căruia a fost aplicat operatorul de logaritmare) în cazul Chinei, Japoniei, Coreei de Sud și Taiwanului. Datele arată clar că traiectoria urmată de China este foarte asemănătoare cu cea a celorlalte trei economii est-asiatice, considerate exemple de succes. Din grafic se poate observa faptul că la aproximativ 25 de ani după ce au atins statutul de economii cu venituri medii, China, Japonia și Taiwan au ajuns la niveluri similare ale PIB-ului real pe locuitor. Singura excepție este Coreea de Sud, care a înregistrat progrese ceva mai rapide. Aceste observații sugerează că ritmul de creștere al PIB-ului real al Chinei nu diferă în mod semnificativ de cel al acestor economii.

Pe de altă parte, trebuie remarcat faptul că procesul de creștere al Chinei a început mult mai târziu, într-un moment în care PIB-ul pe locuitor în economii dezvoltate precum cea din SUA era deja considerabil mai ridicat. Aceasta a oferit Chinei avantajul de a avea acces la o frontieră tehnologică mai avansată pentru procesul de recuperare. Totuși, graficul de mai sus evidențiază faptul că evoluția Chinei este mai puțin spectaculoasă comparativ cu cea a celorlalte economii. În 1995, PIB pe locuitor din China era de 6,6 % din cel înregistrat în SUA, iar după 25 de ani, în 2019, acest raport a crescut semnificativ, însă a ajuns doar la 25 %. Totodată, Fernández-Villaverde, Ohanian și Yao (2023) subliniază că, în contextul modelului utilizat, în 2100, PIB-ul pe locuitor al Chinei ar putea converge la un nivel de doar 44 % din cel înregistrat în SUA. Nu în ultimul rând, autorii estimează că ritmul de creștere al economiei Chinei se va reduce considerabil și se va situa sub cel al economiei SUA, în special ca urmare a creșterii mai ridicate a productivității americane. Așadar, nivelul semnificativ mai redus al costurilor cu forța de muncă din China nu a fost o condiție suficientă pentru aceasta de a realiza performanțe mai ridicate comparativ cu alte economii din Asia sau cu cea a Statelor Unite ale Americii, chiar dacă în cazul Chinei au fost înregistrate progrese remarcabile din punct de vedere tehnologic.

Dezvoltarea economică și creșterea bunăstării în societate se reflectă în general prin creșterea PIB pe locuitor, indicator frecvent utilizat pentru monitorizarea procesului de convergență. În același timp, pentru a aprecia competitivitatea pe plan extern a unei economii este adesea utilizată evoluția cursului real de schimb. Efectul Balassa-Samuelson-Penn descrie cât de naturală e creșterea cursului real de schimb ca urmare a transformărilor ireversibile ce survin la nivel sectorial. De altfel, competitivitatea trebuie investigată în afara acestor transformări naturale, după cum subliniază Stahler și Subramanian (2014).
În graficul de mai sus regăsim evoluția (date cu frecvență anuală) PIB pe locuitor la paritatea puterii de cumpărare și a cursului real de schimb aproximat prin măsura REER (scala din stânga) în cazul țării noastre. Ambele variabile sunt exprimate ca și indici cu baza fixă în 2015. Se poate observa cum ambii indici manifestă tendințe similare începând cu anul 2017, însă viteza de creștere a indicelui PIB pe locuitor o depășește clar pe cea a indicelui REER.
Pentru o imagine mai clară asupra factorilor comuni tipici fazei de convergență ce manifestă efecte, atât asupra PIB per capita, cât și asupra cursului real de schimb, am extras componenta ciclică din cele două serii de timp (în acest sens, am utilizat varianta one-sided a filtrului Hodrick-Prescott, unde parametrul de netezire lambda a fost calibrat la 100 dată fiind frecvența anuală a datelor). Din figura 4 se poate observa tendința similară urmată de componentele ciclice ale PIB pe locuitor și ale măsurii REER pentru cursul real de schimb începând cu anul 2017. Până la începutul pandemiei Covid-19, componenta ciclică a variabilei PIB pe locuitor manifesta modificări de o magnitudine net superioară celei observate în cazul cursului real de schimb. În schimb, după izbucnirea pandemiei, cele două componente ciclice au înregistrat evoluții foarte apropiate, atât în termeni de tendință, cât și de magnitudine. Așadar, la o primă vedere, am putea concluziona că transformări ale economiei de genul celor descrise de efectul Balassa-Samuelson-Penn ar putea fi mai evidente după 2017. Mai exact, după 2017, corelația dintre cele două componente ciclice crește semnificativ față de perioada anterioară, la aproximativ 30 %.
Doresc însă să subliniez faptul că această mențiune nu este un verdict, ci doar o observație empirică care are la bază o analiză pe o perioadă scurtă de timp. Sigur, se poate identifica o tendință evolutivă, dar multe studii de specialitate subliniază că este preferabil ca diferitele forme ale efectului Balassa-Samuelson să fie testate pe termen lung, ori, în cazul de față, orizontul de doar 7 ani nu este suficient și trebuie extins prin cercetări viitoare pentru o concluzie solid fundamentată.
În încheiere, voi oferi un scurt exemplu pe care îl consider elocvent pentru a sintetiza procesul de convergență prin prisma unei interpretări normative a efectului Balassa-Samuelson. Considerăm că dat fiind un nivel al venitului nominal (I) și un nivel al prețurilor (P), cantitatea de bunuri (C) pe care o putem achiziționa este: C = I/P. Indicele agregat al prețurilor P reprezintă o ponderare între prețurile bunurilor netranzacționabile ( ) și cele tranzacționabile ( ). Să presupunem faptul că ponderea bunurilor netranzacționabile este 30%. În linie cu efectul Balassa-Samuelson și extensiile sale, procesul de convergență aduce o creștere a veniturilor de 15%, a prețului bunurilor netranzacționabile de 20%, iar a prețului bunurilor tranzacționabile de 10%. Care vor fi efectele asupra bunăstării societății prin prisma bunurilor pe care le poate achiziționa?

Așadar, conform exemplului considerat, procesul de convergență, deși conduce la o creștere a veniturilor cu 15%, plusul de bunăstare în echivalentul bunurilor achiziționate este de numai 2%, ca urmare a creșterii prețurilor. Acest exemplu urmărește să sublinieze într-o manieră simplificată faptul că procesul de convergență în ansamblu, cât și în particular prin prisma efectului Balassa-Samuelson, trebuie investigat într-o manieră comprehensivă prin beneficiul net pe care îl aduce societății. În acest sens, Itskhoki (2020) explică detaliat cât de important este cursul real de schimb pentru echilibrul general al economiei.
Totodată, transformările implicite ale procesului de convergență, așa cum sunt ele descrise de efectul Balassa-Samuelson, trebuie studiate și înțelese pe deplin și într-o manieră adecvată, care să țină cont de necesitatea analizei pe o perioadă de timp relevantă pentru a putea identifica soluții eficiente pentru o dezvoltare economică sustenabilă și pentru corectarea eficientă a unor dezechilibre.
Convergența economică nu implică doar un avans al veniturilor, ci și creșteri inerente ale prețurilor, în special, în cazul bunurilor netranzacționabile (mai ales al serviciilor, care, în economia României, la fel ca și la nivel European, au o pondere semnificativă). Avantajul forței de muncă ieftine se disipează pe măsură ce procesul de convergență avansează și este oricum insuficient pentru a susține un avans economic consistent, rapid și durabil.
Nu în ultimul rând, trebuie să avem în vedere faptul că transformările ireversibile ale economiei, așa cum sunt ele descrise de efectul Balassa-Samuelson, nu sunt scutite de riscuri. Un exemplu elocvent în acest sens îl reprezintă cazul Portugaliei. Reis (2013) oferă o analiză detaliată a economiei Portugaliei înainte și după criza financiară, încercând să explice cauzele performanței economice modeste din perioada 2000–2012. În intervalul respectiv, Portugalia a înregistrat o evoluție mai slabă decât cea a Statelor Unite în timpul Marii Depresiuni sau a Japoniei în „deceniul pierdut”. Potrivit lui Reis (2013), această situație a survenit pe fondul unor circumstanțe descrise de aprecierea cursului real de schimb, creșterile salariale accelerate, direcționarea ineficientă a capitalului în economie, expansiunea sectorului non-tradable, diminuarea productivității totale a factorilor, acumularea excesivă a datoriei externe și lipsa unor reforme preventive în sistemul de pensii. Așadar, transformările economice descrise de efectul Balassa-Samuelson trebuie să fie însoțite de politici economice adecvate, pentru a evita o performanță slabă a economiei, cum a fost cazul Portugaliei.
Îmbunătățirea productivității și alocarea eficientă a capitalului sunt factorii cheie ce preiau rolul de motor al îmbunătățirii competitivității externe și al menținerii unui ritm ridicat de convergență. Totodată, acești factori sunt fundamentali pentru investițiile orientate predominant către producția de bunuri tranzacționabile. Eventuale deprecieri ale cursului nominal de schimb pot avea doar efecte limitate, întrucât determină concomitent și externalități negative, precum inflație, creșterea incertitudinii sau creșterea poverii asociate datoriei publice și private. Pe de altă parte, deprecierea nominală a cursului de schimb nu implică automat pe termen scurt și mediu o îmbunătățire a competitivității externe, dacă aceasta nu este însoțită de creșteri de productivitate.
Așa cum sublinia Paul Krugman, există o capcană a interpretării simpliste a problemelor legate de creșterea productivității și a competitivității. În Competitiveness: A Dangerous Obsession (1994), el aprecia: „Să presupunem că o țară constată că, deși productivitatea sa este în continuă creștere, poate reuși să exporte doar dacă își devalorizează în mod repetat moneda, vânzându-și exporturile din ce în ce mai ieftin pe piețele mondiale. Atunci nivelul său de trai, care depinde de puterea sa de cumpărare, atât față de importuri, cât și față de bunurile produse pe plan intern, ar putea de fapt să scadă.”
Astfel, devine esențial să înțelegem că o dezvoltare durabilă, care să implice creștere de productivitate și de competitivitate, se poate realiza, în primul rând, prin alocarea eficientă a capitalului în economie.