-
PPC Renewables România a adăugat în 2025 aproximativ 200 MW în capacități de generare
-
Compania continuă cu planul de dezvoltare în România pentru a atinge 2 GW în capacități instalate până în 2026
PPC Renewables România și-a majorat capacitățile instalate la peste 1,5 GW, în urma adăugării a aproximativ 200 MW în 2025 și va continua cu strategia sa de creștere pentru a atinge pragul de 2 GW în capacități de producție din surse regenerabile până la finalul anului 2026, în principal prin parcuri eoliene și fotovoltaice, împreună cu sisteme de stocare a energiei în baterii.
„Continuăm planul de extindere a portofoliului de energie regenerabilă, cu proiecte care pot contribui la reducerea deficitului de capacități de producție din România și la stabilitatea sistemului, prin profilul de producție predictibil și capacitatea de a stoca energia electrică în baterii. Vom continua proiectele noastre, atât în producție, cât și în capacități de stocare, pentru a atinge un nivel de 2 GW în capacități de producție în România până la sfârșitul acestui an”, a declarat Adrian Dugulan, Director General al PPC Renewables România.
Cea mai recentă adiție a companiei este proiectul Ciorani, care constă în două parcuri fotovoltaice cu o capacitate operațională totală de 85 MWp, precum și 27 MW în sisteme de stocare în baterii aflate în proces de autorizare.
PPC Renewables România are mai în derulare mai multe proiecte pentru noi capacități fotovoltaice, dar și eoliene. De exemplu, prima fază a parcului eolian Deleni din județul Vaslui, cu o capacitate de 140 MW, este în curs de finalizare, iar a doua fază va adăuga încă 85 MW. Acesta va fi cel mai mare parc eolian din regiunea Moldovei și va contribui la reducerea deficitului de capacități de energie electrică din nordul României.
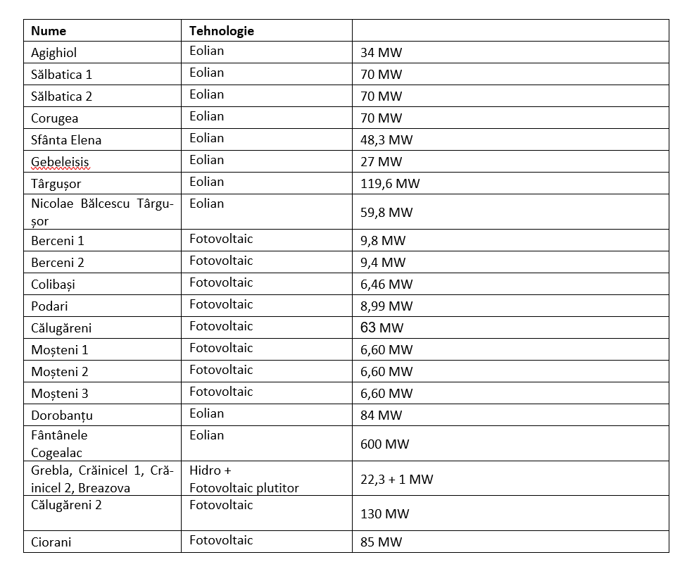
În prezent, PPC Renewables România deține următoarele capacități operaționale:

Grupul PPC își dezvoltă rapid portofoliul de energie regenerabilă în Grecia, România, Italia și Bulgaria, cu capacități instalate în creștere de la 4,7 GW în prima jumătate a anului 2024 la 6,4 GW la sfârșitul lunii septembrie 2025. Obiectivul Grupului PPC este de a atinge o capacitate instalată din surse regenerabile de 12,7 GW până în 2028. În România, PPC Renewables, parte a Grupului PPC, este un lider în domeniul energiei regenerabile, cu o capacitate instalată în prezent de peste 1,5 GW și continuă într-un ritm alert dezvoltarea portofoliului prin proiecte de mari dimensiuni, fiind cel mai mare producător privat de energie regenerabilă din România.









